Saturday, March 7, 2020

15+ Diagrama De Flujo De Un Numero Primo Images

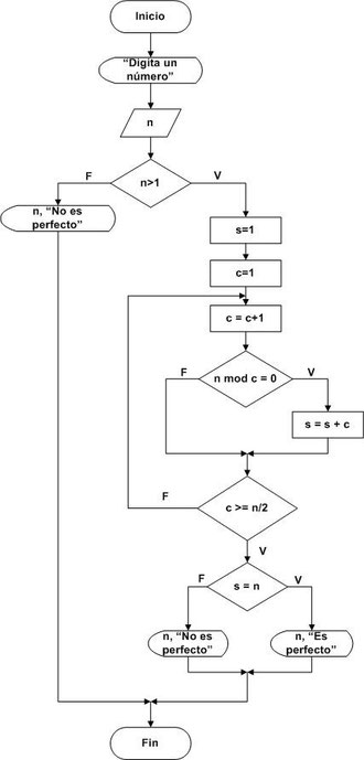
15+ Diagrama De Flujo De Un Numero Primo Images. Diagrama de flujo que determine si un número es primo o no. El diagrama de flujo o flujograma o diagrama de actividades es la representación gráfica de un algoritmo o proceso.

Entornos de desarrollo. Diagramas de flujo (II ...
Entornos de desarrollo. Diagramas de flujo (II ... from 3.bp.blogspot.com
Se usa en diversas disciplinas tales como la economía, la programación, la psicología cognitiva y los procesos industriales. Para crear un diagrama de flujo, haz clic en la pestaña de data y elige el icono de diagramas de flujo. Conoce los símbolos de diagrama de flujo más comunes.

Algoritmo para saber si un número n es primo o no.

Algoritmo para saber si un número n es primo o no. Simbología de un diagrama de flujo. Significado del símbolo en diagramas de flujo: Que calcule e imprima números primos.


0 comments:

Post a Comment